Dr. Yi-Zhou Jiang is now a PhD candidate and also a resident in the Liver Transplantation Center and department of critical liver disease of Beijing Friendship Hospital, Capital Medical University. She has been under the tutelage of Professor Li-Ying Sun, a pioneer of transplant clinician in mainland China and also a member of the ILTS Committee of Anesthesia/ Critical Care & The Acute Liver Failure Special Interest Group, and engaged in liver transplant critical care and perioperative management since 2018. She, and the whole team is currently focused on the issues affecting long-term survival including liver graft fibrosis in transplant recipients, and management of inherited metabolic liver diseases both in clinical and basic research. Until now, she has published several scientific research papers as the first author and participated in IPTA and ILTS as oral/poster abstract presenter for several times.
The role of immunosuppression level in liver allograft fibrosis after pediatric liver transplantation
Yi-Zhou Jiang1,2,3, Xin-Yan Zhao1,3,6, Lin Wei1,3, Wei Qu1,3, Zhi-Gui Zeng1,3, Shan-Shan Wu4, Hai-Ming Zhang1,3, Ying Liu1,2,3, En-Hui He5, Zhan-Xiong Yi5, Yu-Le Tan1,3, Jun Wang1,3, Zhi-Jun Zhu1,3, Li-Ying Sun1,2,3.
1Liver Transplantation Center, National Clinical Research Center for Digestive Diseases, Beijing Friendship Hospital, Capital Medical University, Beijing, People's Republic of China; 2Department of Critical Liver Diseases, Liver Research Center, Beijing Friendship Hospital, Capital Medical University, Beijing, People's Republic of China; 3Clinical Center for Pediatric Liver Transplantation, Capital Medical University, Beijing, People's Republic of China; 4Clinical Epidemiology and EBM Unit, National Clinical Research Center for Digestive Diseases, Beijing Friendship Hospital, Capital Medical University, Beijing, People's Republic of China; 5Department of Ultrasound, Beijing Friendship Hospital, Capital Medical University, Beijing, People's Republic of China; 6Liver Research Center, Beijing Friendship Hospital, Capital Medical University, Beijing, People's Republic of China
Objective: Liver allograft fibrosis (LAF) is prevalent among patients with long-term survival after liver transplantation (LT). We aimed to identify clinical risk factors associated with LAF in pediatric LT recipients, with a focus on the impact of immunosuppression level on LAF and its evolution.
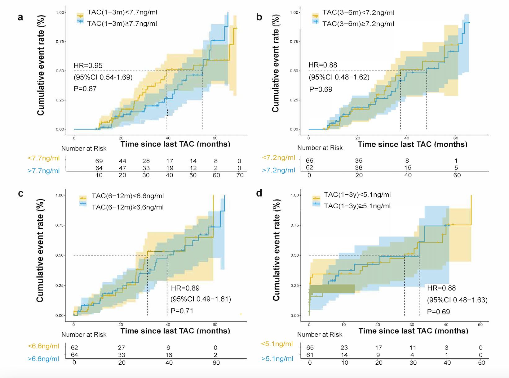
Methods: A retrospective study on pediatric LT recipients with at least one-year follow up who underwent liver biopsy was conducted. Cox regression models were used to analyze risk factors associated with LAF, and landmark analysis was used to evaluate the impact of tacrolimus (TAC) level on LAF. Longitudinal analysis was also conducted in patients undergoing repeat liver biopsies.
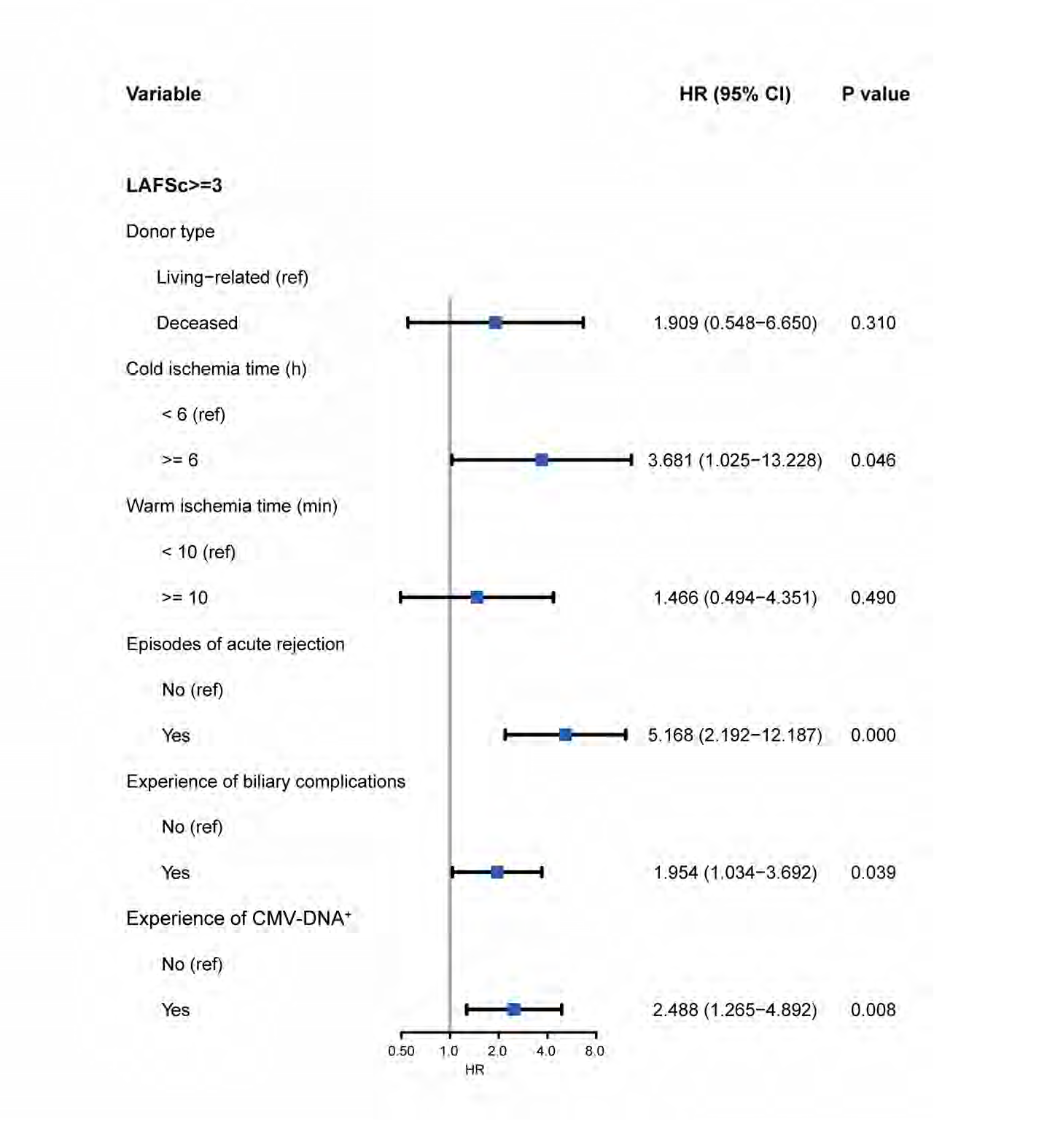
Results: A total of 139 patients involving 174 liver biopsies were included. With a 2.3-year follow-up period, LAF was detected in 91.4% of patients (9.4% had severe LAF). Episodes of acute rejection, biliary complications, positive cytomegalovirus DNA after LT, and prolonged cold ischemia time were independent risk factors for LAF.

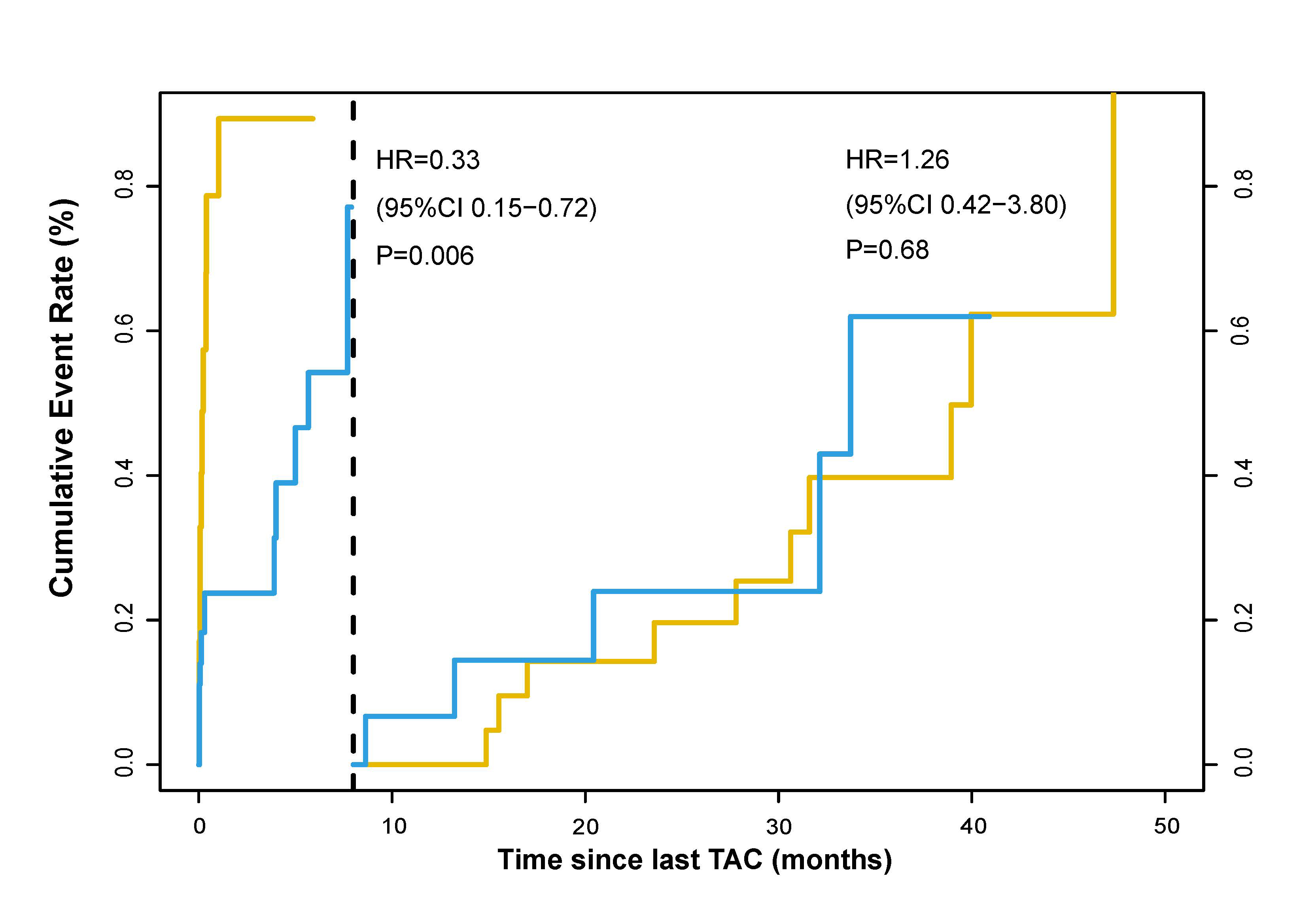
The risk in the low TAC level group at 1-3, 3-6, 6-12 and 12‐36 months after LT was higher than the counterparts. Especially, in patients with high TAC level (≥ 5.1 ng/mL) during postoperative 1-3 years, the risk of LAF was 67% lower in the short-term (P = 0.006). Twenty-six patients underwent repeat biopsies. Patients with increasing TAC level after the first biopsy were more likely to achieve fibrosis reduction (HR = 7.53, P = 0.025).


Conclusion: LAF is common among pediatric LT recipients with more than one-year of follow-up, but was mostly mild or moderate. Under-immunosuppression may contribute to the development of fibrosis; and the degree of LAF may be improved by administering adequate levels of immunosuppression.

right-click to download