Mayur Patil, India has been granted the TTS-ISOT La Renon International Transplantation Science Mentee-Mentor Awards
Organ preserving cardiopulmonary resuscitation in a resource limited country to increase donor pool
Mayur Patil1,2, Pankaj Shah1, Himanshu Patel1, Vivek Kute1, Harishankar Meshram1, Rechal Shah2.
1Nephrology, Institute of Kidney Disease and Research Centre - Institute of Transplantation Sciences, Ahmedabad, India; 2Nephrology, Care Institute of Medical Sciences, Ahmedabad, India
Background: In developing nation where modern advances in deceased donation is far from reach, cost effective procedures like organ preserving cardiopulmonary resuscitation (OPCPR) can result in considerable expansion of donor pool.
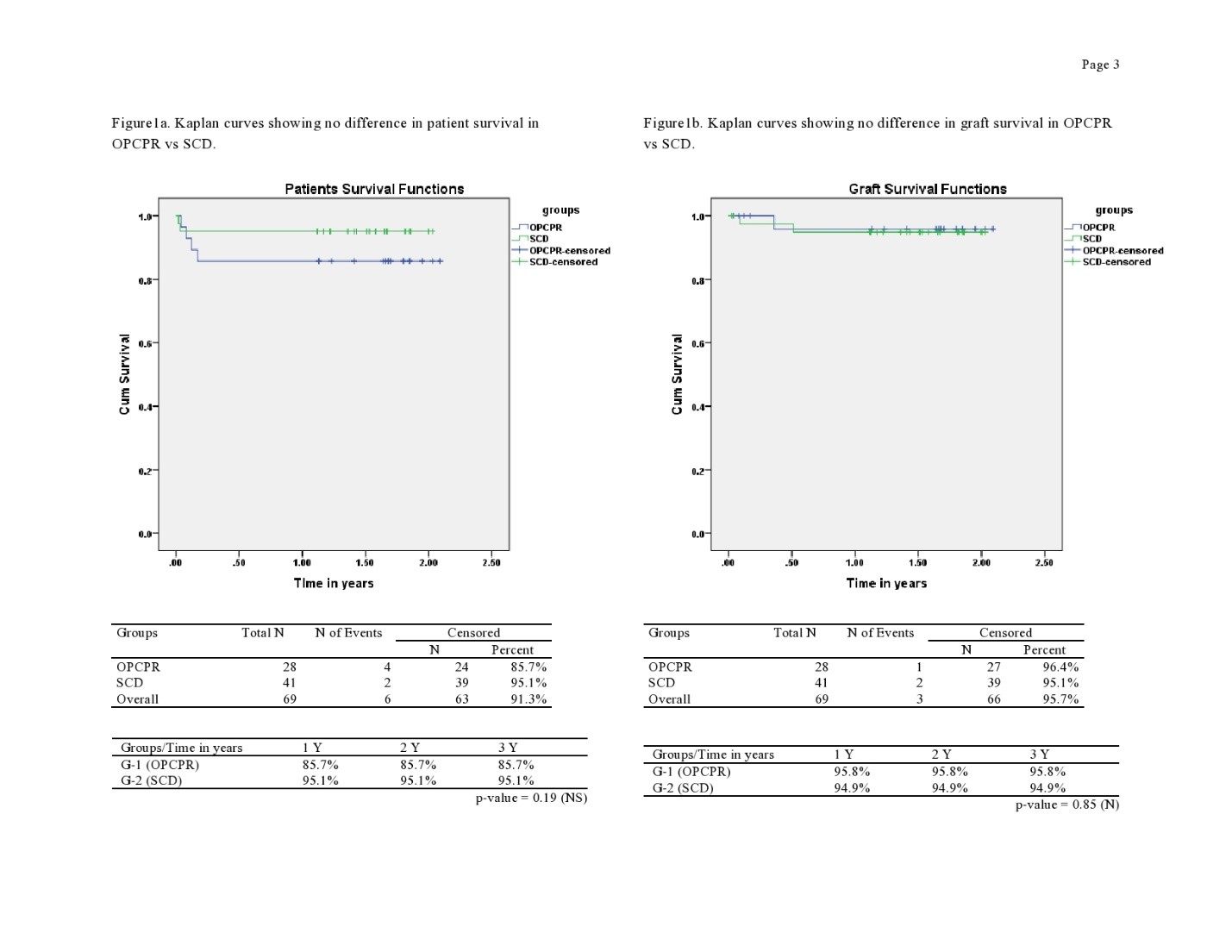
Methods: A retrospective analysis from a single center of India. The outcome measured was difference in OPCPR compared to standard criteria donor (SCD) in censored patient and graft survival through Kaplan Meier analysis. The secondary outcomes were surgical, rejection, and infectious complications.
Results: We report our experience of increasing donor pool by OPCPR by 35%. Patient survival was similar in OPCPR group compared to SCD (85.7% vs 96.5%; p-value = 0.19). Graft survival was similar in both groups (96.4% vs 95.1%; p-value = 0.85). The patient survival was similar in non-AKI (acute kidney injury) OPCPR compared to AKI OPCPR (85.7% vs 77.8%; p-value = 0.49). The graft survival was similar in both the groups (95.8% vs 92.9%; p-value = 0.70). The secondary outcomes measured were also similar.



Conclusion: Our preliminary report shows acceptable outcomes in OPCPR donors. Hence, we encourage OPCPR worldwide in an effort to further increase the donor pool. This report will be a learning tool to replicate in other resource limited nations.

right-click to download