Comparison of hypothermic static and normothermic ex-situ donor heart preservation in heterotopic heart transplantation with the murine model
Mukhammad Kayumov1, Do Wan Kim3, Hwa-Jin Cho2, Kyo Seon Lee3, In-Seok Jeong3.
1Department of Medical Science, Chonnam National University Graduate school, Gwangju, Korea; 2Department of Pediatrics, Chonnam National University Children's Hospital and Medical School, Gwangju, Korea; 3Department of Thoracic and Cardiovascular Surgery, Chonnam National University Hospital and Medical School, Gwangju, Korea
Introduction and Background: Hypothermic static and Normothermic ex-situ preservation methods are the most widely used preservation technique worldwide. While cold static storage is associated with subsequent ischemic injury, Normothermic perfusion preservation has the potential to elongate preservation time with less ischemia. The current study compares the hypothermic and normothermic preservation methods in terms of graft performance, morphologic changes, and acute immune response in an experimental model.
Materials and Method: Twenty-five rats underwent heterotopic abdominal heart transplantation after two hours of donor heart hypothermic storage (HT group; n=10) or normothermic ex-situ preservation (NT group; n=15). Blood samples were obtained just before and after 4-hours of implantation to analyze surface markers of immune cells (CD4, CD8, CD161, CD45R). ECG and Echocardiography were performed before harvesting and after implantation. Hearts were extracted after four hours of implantation for Hematoxylin-Eosin (HE) and TUNEL-staining, and recipient rats were euthanized.
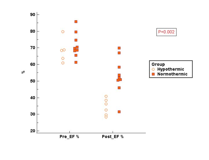
Results: 19 (76%) rats successfully survived after implantation (HT group: 100%, NT group: 60%). The mean ischemic time of the donor heart was 162.7±8.34 minutes in the HT group and 45±3.7 minutes in the NT group. The NT group showed no significant change in the heart rate before and after implantation but significantly decreased in the first hour of implantation in the HT group (259.5±24.3rpm) and normalized at 3 hours (338.3±34.1rpm).

Ejection fraction and fractional shortening significantly decreased after implantation in both groups but were less significant in the NT group (P=0.001). Granulocyte was less significantly increased in the NT group compared to the HT group after the experiment (p=0.037). Although the gross structure was well preserved in both groups in HE-staining, the number of TUNEL positive cells was significantly higher in the HT group.


Conclusions: Our findings suggest that normothermic ex-situ preservation is associated with well-preserved donor hearts but similar recipient immune response in comparison with hypothermic static preservation.

right-click to download